Çözüldü Çarpanlara Ayırma (7 Soru)

Konusu 'Denklem Çözme, Eşitsizlikler, Oran-Orantı, Özdeşlikler ve Çarpanlara Ayırma' forumundadır ve g@mze tarafından 21 Temmuz 2011 başlatılmıştır.

Yüklüyor...
  1. Cem

    Cem Yönetici Yönetici

    Mesajlar:
    3.388
    Beğenileri:
    1.331
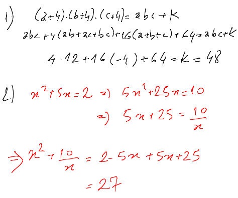
    [​IMG]
    Honore bunu beğendi.
Benzer Konular: Çarpanlara Ayırma
Forum Başlık Tarih
Ivır Zıvır Sorular - Sohbet (Trivial Questions - Chat) Basit Faiz - İkinci Derece Tek Bilinmeyenli Denklemde Çarpanlara Ayırma 4 Nisan 2026
Denklem Çözme, Eşitsizlikler, Oran-Orantı, Özdeşlikler ve Çarpanlara Ayırma İki Bilinmeyenli Denklemde Determinantla Çözüm - Çarpanlara Ayırma 3 Nisan 2026
Ivır Zıvır Sorular - Sohbet (Trivial Questions - Chat) Üçgende Alan - Trigonometri - İkinci Derece Denklemde Çarpanlara Ayırma 16 Mart 2026
Limit ve Süreklilik,Türev,İntegral Değişim Oranı - Doğrunun Analitiği - Kübik Denklemde Çarpanlara Ayırma - Türev 3 Şubat 2026
Limit ve Süreklilik,Türev,İntegral Limitte Cebirsel Değişken Dönüşümü, Özdeşlikler ve Çarpanlara Ayırma 20 Ocak 2026

Sayfayı Paylaş