Çözüldü Kombinasyon - Toplam Sembolü (3 Soru)

Konusu 'Akademik Soru Çözümleri ve Kaynakları' forumundadır ve İlayda16 tarafından 3 Haziran 2020 başlatılmıştır.

Yüklüyor...
  1. İlayda16

    İlayda16 Yeni Üye

    Mesajlar:
    6
    Beğenileri:
    1
    Cinsiyet:
    Bayan
    Screenshot_20200603_222644.jpg

  2. Benzer Konular: Kombinasyon Toplam
    Forum Başlık Tarih
    Zor Sorular (Akademik Problemler Hariç) Kombinasyon - Toplam Sembolü - Binom Dağılımı - Koşullu Olasılık 23 Nisan 2024
    Mantık,Kümeler,Bağıntı ve Fonksiyon,İşlem ve Moduler Aritmetik Örten Fonksiyon Sayısı - Toplam Sembolü - Kombinasyon 5 Aralık 2022
    Polinomlar, Permütasyon, Kombinasyon, Olasılık ve Binom Açılımı Kombinasyon - Toplam Sembolü 17 Kasım 2018
    Toplam ve Çarpım Sembolü,Diziler ve Seriler,Matris ve Determinant Toplam Sembolü - Kombinasyon 6 Şubat 2016
    Polinomlar, Permütasyon, Kombinasyon, Olasılık ve Binom Açılımı Kombinasyon (Toplam) 16 Eylül 2012

  3. Honore

    Honore Yönetici Yönetici

    Mesajlar:
    11.083
    Beğenileri:
    652
    Cinsiyet:
    Bay
    Meslek:
    Müh. (Elk./Bilg.)
  4. Honore

    Honore Yönetici Yönetici

    Mesajlar:
    11.083
    Beğenileri:
    652
    Cinsiyet:
    Bay
    Meslek:
    Müh. (Elk./Bilg.)
  5. Honore

    Honore Yönetici Yönetici

    Mesajlar:
    11.083
    Beğenileri:
    652
    Cinsiyet:
    Bay
    Meslek:
    Müh. (Elk./Bilg.)
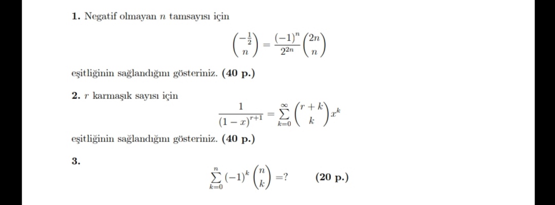
    Soru - 2
    Şöyle bir çözüm düşünebildim:
    Binom Açılımı'na göre;
    (a + x)^n = (a^n)·(x^0) + (n / 1!)·[ a^(n - 1) ]·(x^1) + [ n(n - 1) / 2! ]·[ a^(n - 2) ]·(x^2) + [ n(n - 1)(n - 2 / 3! ]·[ a^(n - 3) ]·(x^3) + ...
    olduğundan r = 1 + i gibi bir karmaşık sayı alınarak sol taraf (1 + x)^[-(r + 1) ] yazılıp ilk altı terim için açılırsa;
    1 + (2 + i)·(x^1) + [ (5 / 2) + (5i) / 2 ]·(x^2) + [ (5 / 2 + (25i) / 6 ]·(x^3) + [ 25 / 12 + (35i) / 6 ]·(x^4) +
    [ (4 / 3) + (89i) / 12 ]·(x^5) + ...(I)
    Sağ taraftaki kombinasyon da Gamma Fonksiyonu sayesinde (teorik tarafını ödevde açıklamak gerekmez sanırım);
    C(1 + i + 0, 0) = 1
    C(1 + i + 1, 1) = 2 + i
    C(1 + i + 2, 2) = 5 / 2 + 5i / 2
    C(1 + i + 3, 3) = 5 / 2 + 25i / 6
    C(1 + i + 4, 4) = 25 / 12 + 35i / 6
    C(1 + i + 5, 5) = 4 / 3 + 89i / 12
    ... olduğundan toplam sembolü açılırsa;
    1 + (2 + i)·(x^1) + [ (5 / 2) + (5i) / 2 ]·(x^2) + [ (5 / 2 + (25i) / 6 ]·(x^3) + [ 25 / 12 + (35i) / 6 ]·(x^4) + [ (4 / 3) + (89i) / 12 ]·(x^5) + ...(II)
    (I) ve (II) toplamlarının eşitliği görülmektedir.
    Rica ederim, kolay gelsin, iyi çalışmalar.
    Son düzenleme: 4 Haziran 2020
    İlayda16 bunu beğendi.
  6. İlayda16

    İlayda16 Yeni Üye

    Mesajlar:
    6
    Beğenileri:
    1
    Cinsiyet:
    Bayan
    Çok çok çok teşekkür ederim
    Honore bunu beğendi.

Sayfayı Paylaş