Çözüldü Limitte Denklik Kavramının Uygulanışı

Konusu 'Limit ve Süreklilik,Türev,İntegral' forumundadır ve Honore tarafından 31 Mayıs 2014 başlatılmıştır.

Yüklüyor...
  1. Honore

    Honore Yönetici Yönetici

    Mesajlar:
    11.055
    Beğenileri:
    652
    Cinsiyet:
    Bay
    Meslek:
    Müh. (Elk./Bilg.)
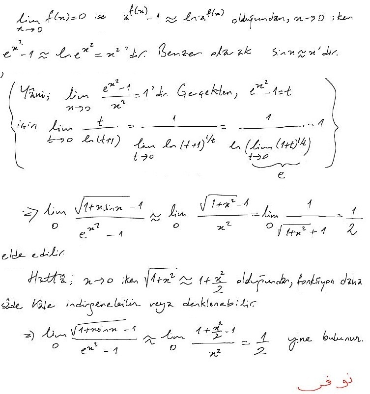
    Denklik kavramını ve limit konusuna uygulanışını ilk kez sayın Cem Hocam'dan gördüğüm kadar hiç bilmiyordum. Özellikle akademik yönde matematiği kullanacak tüm öğrenci üyelerin öğrenmesi dileğiyle kendisinin arşivdeki çözümlerinden birini vermek istedim:
    [​IMG]
    http://i1224.photobucket.com/albums/ee362/vmhugo/Forum Pictures/CodeCogsEqn3-1.gif

    "Limit fonksiyonunun yerine onun dengi olan başka bir fonksiyon yazarak limit alalım."
    [​IMG]
    http://i1224.photobucket.com/albums/ee362/vmhugo/Forum Pictures/lmthonore.jpg

    Ekli Dosyalar:

    Bora bunu beğendi.
     
    : denklik

  2. Benzer Konular: Limitte Denklik
    Forum Başlık Tarih
    Limit ve Süreklilik,Türev,İntegral Trigonometrik Limitte Değişken Dönüşümü ve Denklik 26 Şubat 2026
    Limit ve Süreklilik,Türev,İntegral Trigonometrik Limitte Denklik Kavramı 1 Aralık 2024
    Limit ve Süreklilik,Türev,İntegral Trigonometrik Limitte Gereksiz Gamma Fonksiyonu Fantezisi 6 Nisan 2026
    Limit ve Süreklilik,Türev,İntegral Limitte Cebirsel Değişken Dönüşümü, Özdeşlikler ve Çarpanlara Ayırma 20 Ocak 2026
    Limit ve Süreklilik,Türev,İntegral Trigonometrik Limitte MacLaurin Serisi 15 Ocak 2026

  3. Honore

    Honore Yönetici Yönetici

    Mesajlar:
    11.055
    Beğenileri:
    652
    Cinsiyet:
    Bay
    Meslek:
    Müh. (Elk./Bilg.)
    0 / 0 Belirsizliğinden Dolayı L'Hospital Kuralı Uygulanarak Türevle Çözüm:
    lim (x → 0) (sinx + x·cosx) / { 4x·[ e^(x^2) ]·[ (1 + x·sinx)^0,5 ] } = 0 / 0 nedeniyle kural tekrar uygulanarak,
    lim (x → 0) (2·cosx - x·sinx) / { 4·[ e^(x^2) ]·[ (1 + x·sinx)^0,5 ] + (8x^2)·[ e^(x^2) ]·[ (1 + x·sinx)^0,5 ] + 4x·[ e^(x^2) ]·(sinx + x·cosx) / [ 2·(1 + x·sinx)^0,5 ] } =
    (2·1 - 0) / (4·1·1 + 0 + 0) =
    1 / 2.

Sayfayı Paylaş