Çözüldü 3. Dereceden Denklemler (2 Soru)

Konusu 'Denklem Çözme, Eşitsizlikler, Oran-Orantı, Özdeşlikler ve Çarpanlara Ayırma' forumundadır ve Cem tarafından 1 Mayıs 2011 başlatılmıştır.

Yüklüyor...
  1. Cem

    Cem Yönetici Yönetici

    Mesajlar:
    3.388
    Beğenileri:
    1.333
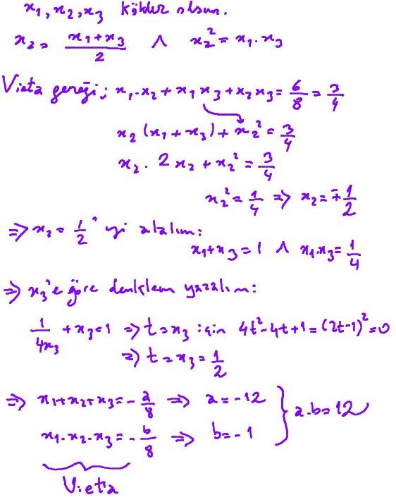
    Başka bir iktibas soru:

    8x^3+ax^2+6x+b=0 denkleminin kökleri hem aritmetik hem de geometrik dizinin ardışık terimleri ise a·b kaçtır?

    8
    12
    18
    24
    48
    Son düzenleyen: Moderatör: 5 Mayıs 2023
    Honore bunu beğendi.
  2. Cem

    Cem Yönetici Yönetici

    Mesajlar:
    3.388
    Beğenileri:
    1.333
    Eşit olacağı bilinmeden de çözülebilir. Şöyle:

    [​IMG]
    Son düzenleyen: Moderatör: 5 Mayıs 2023
    Honore bunu beğendi.
Benzer Konular: Dereceden Denklemler
Forum Başlık Tarih
Denklem Çözme, Eşitsizlikler, Oran-Orantı, Özdeşlikler ve Çarpanlara Ayırma Birinci Dereceden Denklemler 2 Ağustos 2019
Denklem Çözme, Eşitsizlikler, Oran-Orantı, Özdeşlikler ve Çarpanlara Ayırma III. Dereceden denklemler 2 soru 27 Nisan 2016
Denklem Çözme, Eşitsizlikler, Oran-Orantı, Özdeşlikler ve Çarpanlara Ayırma Esen LYS Matematik - II.Dereceden Denklemler - Rehber Test-1 Çözümleri (6 Soru) 6 Aralık 2015
Denklem Çözme, Eşitsizlikler, Oran-Orantı, Özdeşlikler ve Çarpanlara Ayırma 2.Dereceden Denklemler 25 Nisan 2010
Limit ve Süreklilik,Türev,İntegral Taban Merkez Açısı 360 Dereceden Küçük Daire Dilimi Olan Silindirin Hacminde İntegral Kullanımı 30 Ağustos 2025

Sayfayı Paylaş