Çözüldü İşlem

Konusu 'Mantık,Kümeler,Bağıntı ve Fonksiyon,İşlem ve Moduler Aritmetik' forumundadır ve mutku tarafından 7 Haziran 2011 başlatılmıştır.

Yüklüyor...
  1. mutku

    mutku Yeni Üye

    Mesajlar:
    114
    Beğenileri:
    0
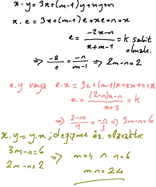
    x*y=3x+(m-1)y+xy+n ise * işleminin birim elemanı ise m·n =?
    Son düzenleyen: Moderatör: 21 Ocak 2026

  2. Benzer Konular: İşlem
    Forum Başlık Tarih
    Ivır Zıvır Sorular - Sohbet (Trivial Questions - Chat) Matematik İşlem Operatörlerinde Öncelik - Üstel Sayılar 26 Şubat 2026
    Polinomlar, Permütasyon, Kombinasyon, Olasılık ve Binom Açılımı Koşullu Olasılık ve Bayes Teoremi - Rasyonel Sayılarla Çarpma ve Bölme İşlemi 20 Şubat 2026
    Ivır Zıvır Sorular - Sohbet (Trivial Questions - Chat) Piramit Hacmi - Pisagor Teoremi - Matematik İşlemlerinde Parantez Kullanımı 8 Şubat 2026
    Ivır Zıvır Sorular - Sohbet (Trivial Questions - Chat) Rasyonel Sayılarla İşlemler 6 Şubat 2026
    Ivır Zıvır Sorular - Sohbet (Trivial Questions - Chat) Logaritmalı Cebirsel İşlem 31 Ocak 2026

  3. Cem

    Cem Yönetici Yönetici

    Mesajlar:
    3.388
    Beğenileri:
    1.333
    [​IMG]
    Honore bunu beğendi.

Sayfayı Paylaş