Çözüldü Limit - Türev (4 Soru)

Konusu 'Limit ve Süreklilik,Türev,İntegral' forumundadır ve mutku tarafından 24 Nisan 2011 başlatılmıştır.

Yüklüyor...
  1. mutku

    mutku Yeni Üye

    Mesajlar:
    114
    Beğenileri:
    0
    [​IMG]
    [​IMG]
    [​IMG]
    [​IMG]

  2. Benzer Konular: Limit Türev
    Forum Başlık Tarih
    Polinomlar, Permütasyon, Kombinasyon, Olasılık ve Binom Açılımı Polinomlarda Bölme - Limit - Türev 15 Ocak 2026
    Limit ve Süreklilik,Türev,İntegral Limitte Eşlenikle Çarpma ve Bölme Yapılmadan Değişken Dönüşümüyle Çözüm - Türev 8 Ocak 2026
    Zor Sorular (Akademik Problemler Hariç) Trigonometrik Limit ve Türev - İntegralin Temel Teoremi (Fundamental Theorem of Calculus) 19 Aralık 2025
    Limit ve Süreklilik,Türev,İntegral Türevin Limit tanımı - L'Hospital Kuralı 3 Aralık 2025
    Limit ve Süreklilik,Türev,İntegral Trigonometrik (YKS'de olmayabilir) Limit, Türev ve Özdeşlikler - Maclaurin Serileri 2 Ağustos 2025

  3. RagROCK

    RagROCK Yeni Üye

    Mesajlar:
    184
    Beğenileri:
    23
    2. soru:
    [​IMG] olmasından dolayı l'hospital uygulanır
    ...
    [​IMG] olarak bulunur.
    Ancak x değişkeni y sabitine yaklaştığından siny ve cosy'li ifadeleri sabit değerler olarak alındı.
    Honore bunu beğendi.
  4. RagROCK

    RagROCK Yeni Üye

    Mesajlar:
    184
    Beğenileri:
    23
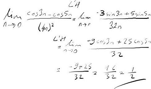
    3. soru:

    [​IMG]
    Honore bunu beğendi.
  5. RagROCK

    RagROCK Yeni Üye

    Mesajlar:
    184
    Beğenileri:
    23
    4. soru:

    [​IMG]

    [​IMG]

    [​IMG]
    Honore bunu beğendi.
  6. Cem

    Cem Yönetici Yönetici

    Mesajlar:
    3.388
    Beğenileri:
    1.333
    Yazana kadar çok uğraştım Bora Hocam. Şu an itibâriyle tam bir ızdırab.:)

    Sonsuz küçük kullanılarak:

    [​IMG]

    [​IMG]
    Honore bunu beğendi.

Sayfayı Paylaş