Çözüldü türev (3 soru)

Konusu 'Limit ve Süreklilik,Türev,İntegral' forumundadır ve bgulcen tarafından 18 Aralık 2011 başlatılmıştır.

Yüklüyor...
  1. bgulcen

    bgulcen Yeni Üye

    Mesajlar:
    96
    Beğenileri:
    5
    Yardımlarınız için şimdiden teşekkürler..
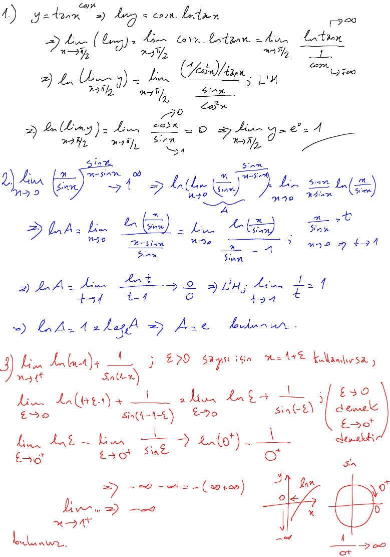
    [​IMG]

  2. Benzer Konular: türev soru)
    Forum Başlık Tarih
    Ivır Zıvır Sorular - Sohbet (Trivial Questions - Chat) Türev (3 Soru) 16 Haziran 2025
    Limit ve Süreklilik,Türev,İntegral Limit - Türev (2 Soru) 7 Mayıs 2023
    Limit ve Süreklilik,Türev,İntegral Trigonometrik Limit ve Türev (2 Soru) 12 Mart 2023
    Hatalı - Tekrarlanmış Sorular veya Çözümler (Faulty - Repeated Questions or Solutions) Soldan ve Sağdan Limit - Bileşik Fonksiyon Türevi - Süreklilik (Dangalak bir soru) 30 Aralık 2021
    FİZİK Bağıl Hız - Kinematik - Türev (5 Soru) 29 Kasım 2021

  3. Cem

    Cem Yönetici Yönetici

    Mesajlar:
    3.388
    Beğenileri:
    1.333
    Ynt: L'Hospital

    [​IMG]
  4. bgulcen

    bgulcen Yeni Üye

    Mesajlar:
    96
    Beğenileri:
    5
    Ynt: L'Hospital

    hocam elinize sağlık yine çok iyi anlatmışsınız

Sayfayı Paylaş