Çözüldü Vektörlerde Skaler Çarpım (3 Soru)

Konusu 'Toplam ve Çarpım Sembolü,Diziler ve Seriler,Matris ve Determinant' forumundadır ve Cem tarafından 19 Mayıs 2011 başlatılmıştır.

Yüklüyor...
  1. Cem

    Cem Yönetici Yönetici

    Mesajlar:
    3.388
    Beğenileri:
    1.333
    Güzel bir soru, iktibas edilmiştir:

    [​IMG] , [​IMG] ve [​IMG] olduğuna göre, [​IMG] ve [​IMG] vektörleri arasındaki açı kaç derecedir?

    A) 150
    B) 120
    C) 60
    D) 45
    E) 30
    Honore bunu beğendi.
  2. Cem

    Cem Yönetici Yönetici

    Mesajlar:
    3.388
    Beğenileri:
    1.333
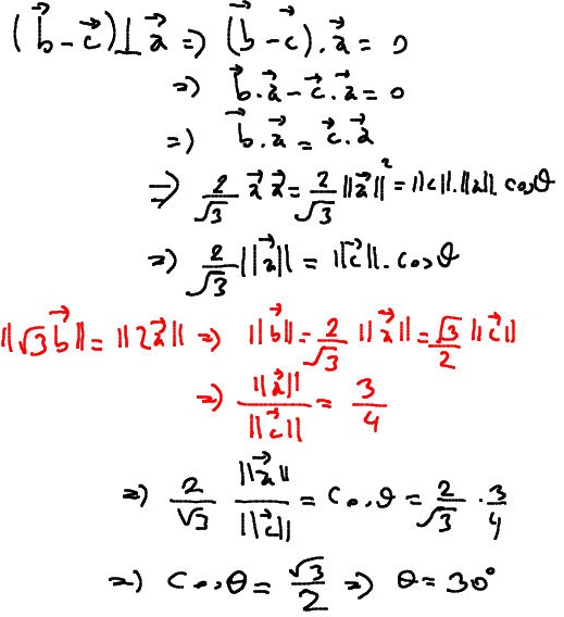
    Çözüm:

    [​IMG]
    Honore bunu beğendi.
  3. Cem

    Cem Yönetici Yönetici

    Mesajlar:
    3.388
    Beğenileri:
    1.333
    İktibas:

    [​IMG]

    Cevaplar; 60° ve -6 olarak verilmiş.
    Son düzenleyen: Moderatör: 22 Aralık 2024
    Honore bunu beğendi.
  4. Cem

    Cem Yönetici Yönetici

    Mesajlar:
    3.388
    Beğenileri:
    1.333
    Çözersek:

    [​IMG]
    Honore bunu beğendi.

Sayfayı Paylaş